引言:“一梦多年,三角困境”终得解
含能材料常用于国防、航天、矿业爆破等关键领域。一直以来,研究者都希望材料能同时满足三大理想特性:能量高、感度低、热稳定性好。然而,就像无法同时抵达三角形的三个顶点,这三者始终难以在一种材料中完美融合。提升能量往往导致感度升高、危险性加大;增强稳定性又常伴随能量衰减。正因如此,破解这一“三角困境”,被国际公认为含能材料领域的“圣杯”。

图1. 含能材料性能三角困境
分子设计:高氮双内盐,巧解平衡难题
研究团队跳出传统思路,摒弃了易导致结构疏松的离子型设计,转向构建一种新型“平面双内盐结构”。该设计具备三大创新点:
高氮骨架:利用氮元素高生成焓、多气体产物的特性,为高能量奠定基础;同时,氮原子可形成丰富氢键和分子间作用力,显著提升材料的稳定性;
精巧构型:通过原子级精准调控,实现能量释放、稳定性和安全性的最优平衡;
简洁合成:团队开发出仅需2-3步的高效合成路径,可规模化制备TYX系列材料,大幅降低产业化门槛。
合成路线:高效、高选择性
该系列三种化合物均以经典高氮化合物BTATz为共同前体,通过高效、高选择性的合成路径制备:首先,BTATz在磺酸烷溶剂中与3,6-双(3,5-二甲基吡唑基)-1,2,4,5-四嗪发生取代反应,生成中间体2;随后在磷酸三乙酯与多聚磷酸体系中经高温环化,得到关键中间体TYX-1;最后,TYX-1分别经浓硝酸硝化(得TYX-2)或过氧化氢/钨酸钠氧化(得TYX-3),以较高收率(78%–85%)获得目标产物。整个路线有效规避了传统合成中涉及的高危中间体,兼具高效性与安全性。

图2. TYX-1、TYX-2和TYX-3的合成路线
性能数据:“一骨架、三协同”,铸就性能新高度
TYX-1:实测密度1.83 g·cm-3,热分解峰温达473℃,含氮量高达73%,理论爆速8.6 km/s,机械感度(撞击感度 > 40 J;摩擦感度 > 360 N)与钝感炸药TATB相当。
TYX-2:实测密度2.04 g·cm-3,热分解峰温为221℃,理论爆速9.915 km·s⁻¹,机械感度显著低于CL-20(撞击感度22.5 J,摩擦感度180 N)。
TYX-3:实测密度1.99 g·cm-3,热分解峰温达365°C,感度与TATB相当(撞击感度 > 40 J,摩擦感度 > 360 N),理论爆速9.315 km·s⁻¹。
通过单晶X射线衍射解析其分子结构与堆叠模式,确认其平面共轭结构与密集分子间作用(氢键、π–π堆积)。通过Hirshfeld表面分析和静电势(ESP)计算揭示其高频氢键网络与电荷分布特征。

图4. TYX-1 (a-d)、TYX-2 (e-h)和TYX-3 (i-l)的分子结构、单晶结构和理化性能数据
理论计算与机理研究
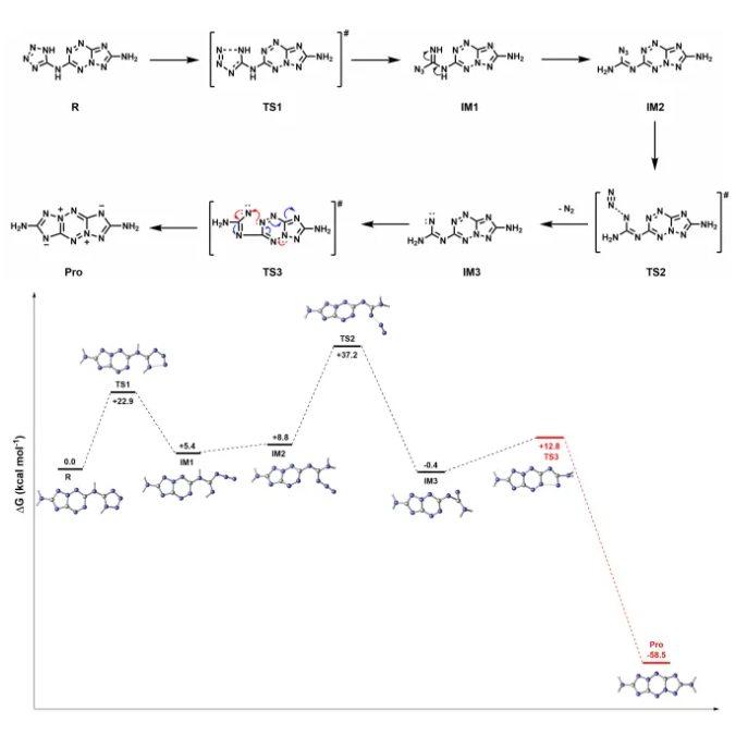
反应起始于化合物R(即化合物2经初次环化所得产物)中四唑环的N-N键断裂,引发五元环开环,并跨越能垒为+22.9 kcal·mol-1的过渡态TS1,形成叠氮中间体IM1。随后,经由C-N σ键旋转与氢原子迁移协同作用,生成中间体IM2。该中间进一步通过能垒为+37.2 kcal·mol-1的过渡态TS2,发生N-N键断裂,同时释放一分子氮气,生成N-卡宾物种IM3。IM3经C-N键重排达到最优构象,跨越+12.8 kcal·mol⁻¹的能垒(TS3),完成五元环的闭环,最终以高度放热的方式生成热力学稳定性显著提高的产物Pro(即TYX-1,ΔG = -58.5 kcal·mol-1)。
研究团队采用DFT计算(M062X/Def2-TZVP)对该环化过程进行了深入解析,清晰揭示了从四唑开环、氮气逸出到五元环重构的完整反应路径,凸显了TYX-1作为热力学稳定产物的合理性与优越性。

(a) TYX-1环化反应的合理机理;(b) TYX-1环化路径的自由能分布图
应用前景:固体推进剂与发射药配方性能的双重提升
表1 低特征信号PNMMO推进剂的能量特性参数

表2 (添加RDX、HMX、CL-20或TYX-2的)典型三基发射药配方及其能量参数计算值.

在PNMMO基固体推进剂和三基发射药中引入TYX系列含能材料,可带来多方面的性能提升:
其比冲(Isp)相较于AP基推进剂最高提升35.6 s;
火药力(Force Capacity)较RDX/HMX体系提高约30 J·g-1;
燃烧产物中氮气含量高达32.9%,有效抑制烧蚀,延长使用寿命;
爆温降低超过150 K,显著增强了热安全性。
这些优势共同体现了TYX材料在先进推进系统中的重要应用潜力。
结论与展望
TYX系列材料的成功研制,标志着我国在高性能含能材料领域取得重大原创突破,在国际上首次实现了“高能-低感-耐热”三重性能的协同提升,从根本上解决了长期制约该领域发展的核心瓶颈。其性能优势源于创新的分子设计与电子结构调控,融合高氮含量、平面共轭及多重氢键网络等结构特征,从本质上协同平衡了能量与安全性。在固体推进剂和发射药中的应用表明,TYX材料不仅可显著提升能量性能,更具备增强热安全性与延长使用寿命的巨大潜力。该材料可为新一代高能、钝感、耐热型武器装备提供关键材料基础,并在深井超高温爆破、航天器特种推进等极端环境中展示出广阔应用前景。随着合成工艺持续优化与应用研究不断深入,TYX材料有望快速实现工程化应用,为我国宇航工程、民用爆破技术及国际含能材料发展注入强劲的“中国动能”,显著推动我国含能材料向高性能、高安全、耐候化方向跨越发展,最终在攻克该领域世界级难题中树立中国标杆。
文章来源:
Journal of Materials Chemistry A, 2025, 13, 25103-25109.
Defence Technology, 2025, DOI: 10.1016/j.dt.2025.05.024.
通讯作者:谭博军、刘宁、张根、张庆华
第一作者:谭博军、窦金康、苏剑、杨雄、唐长伟
单位:西安近代化学研究所、南京理工大学、西北工业大学、甘肃银光集团
声明:化学加刊发或者转载此文只是出于传递、分享更多信息之目的,并不意味认同其观点或证实其描述。若有来源标注错误或侵犯了您的合法权益,请作者持权属证明与本网联系,我们将及时更正、删除,谢谢。 电话:18676881059,邮箱:gongjian@huaxuejia.cn