欢迎来到合成化学产业资源聚合服务平台化学加!客服热线 020-29116151、29116152

定制合成

竞标中立即抢单
已缴纳诚意金100.00

定制合成 :8-bromo-7-methoxy-chromen-2-one

CAS:172427-05-3

需求量:10克(g)

竞标中立即抢单

卡那霉素杂质定制合成

CAS:0-00-0

需求量:1克(g)

竞标中立即抢单

氧化剂定制合成

CAS:164928-90-9

需求量:1g克(g)

竞标中立即抢单

定制合成:7-Fluoro-2,3,4,5-tetrahydro-1H-benzo[c]azepin-1-one

CAS:844647-51-4

需求量:10千克(kg)

竞标中立即抢单

分子大环合成定制

CAS:0-00-0

需求量:50毫克(mg)

竞标中立即抢单

金属有机配合物

CAS:0-00-0

需求量:2吨(ton)

竞标中立即抢单

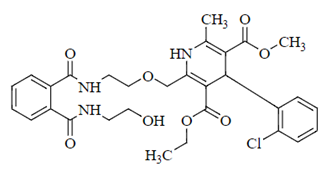
氨氯地平系列衍生物-1

CAS:0-00-0

需求量:1-10克(g)

竞标中立即抢单

乙烯基苯酞染料

CAS:0-00-0

需求量:10克(g)

竞标中立即抢单

两个化合物需要定制

CAS:0-00-0

需求量:5克(g)